szorbitan-monosztearát
(E 491, szorbitan-trisztearát, E 492, szorbitan-monolaurát, E 493, szorbitan-monooleát, E 494)

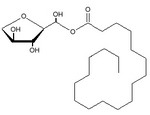
A szorbitan-monosztearát a szorbit és a sztearinsav észtere.
Krémfehér, viaszos por.
A molekula szorbit része nagyon jól oldódik vízben, a sztearinsav rész pedig zsírokban.

Emulgeálószerként használják, élelmiszeradalék kódja E 491.
Elsősorban süteményekben, pékárukban, pudingokban alkalmazzák.
A szárított élesztőben is megtalálható.

A szorbitan-trisztearát a szorbit és a sztearinsav észtere.
Összegképlete C60H114O8
Krémszínű pelyhes anyag.
Nem ionos felületakív anyag.
Emulgeálószerként használják, élelmiszeradalék kódja E 492.

A szorbitan-monolaurát a monosztearáthoz hasonló vegyület, a szorbit és a laurinsav észtere.
A molekula szorbit része nagyon jól oldódik vízben, a laurinsav rész pedig zsírokban.
Emulgeálószerként használják, élelmiszeradalék kódja E 493.

A szorbitan-monooleát a monosztearáthoz hasonló vegyület, a szorbit és az olajsav észtere.
A molekula szorbit része nagyon jól oldódik vízben, a olajsav rész pedig zsírokban.
Emulgeálószerként, hordozóként használják, élelmiszeradalék kódja E 494.

Felhasznált irodalom