Curie-törvény
(Curie-Weiss törvény, Curie állandó)

A paramágneses anyagok szuszceptibilitása, illetve a szigetelőkben az orientációs polarizálhatóság a hőmérséklet reciprokával csökken.

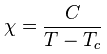
A Curie-Weiss törvény leírja egy ferromágneses anyag mágneses szuszceptibilitását a Curie pont fölötti paramágneses régióban:

ahol:
C - az anyagspecifikus Curie állandó
T - a kelvinben mért abszolút hőmérséklet
Tc - a Curie-hőmérséklet

A törvény előrevetít egy szuszceptibilitás szingularitást a T = Tc esetén. Ez alatt a hőmérséklet alatt a ferromágneses anyag spontán mágneseződik.

Sok anyagnál a Curie-Weiss törvénnyel nem határozható meg a mágneses szuszceptibilitás a Curie pont közelében. A képletnek van egy kritikus viselkedést leíró módozata:

Ahol g a kritikus kitevő.

A T >> Tc hőmérséklet esetén a Curie-Weiss törvény fennáll.

Felhasznált irodalom