kalcium-aszkorbát
(E 302)

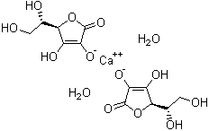
C12H14CaO12 . 2 H2O Az aszkorbinsav kalciummal alkotott ja.

Fizikai és kémiai tulajdonságok
Kristályos anyag
Vízben oldódik

Felhasználás
Antioxidáns-, színmegőrző- és C-vitamin forrásként használják, főleg hústermékekben, fagyasztott hal- és tengeri termékekben, gabona termékekben és dobozos bébi-ételekben.
Élelmiszeradalékként kódja E 302.

Felhasznált irodalom